上海高考一分一段表2022
说起高考几乎是每年最重要的话题之一,随着今年高考分数的公布,你们知道2022年上海高考一分一段是多少的吗?下面是小编为大家带来的上海高考一分一段表2022,希望大家喜欢。
▼▼目录▼▼
2022上海高考一分一段表
2021上海高考一分一段表
高考防骗提醒
高考后干什么事有意义
高考后家长要做的事
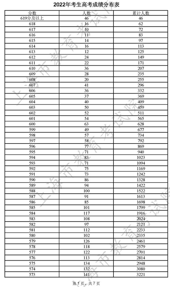
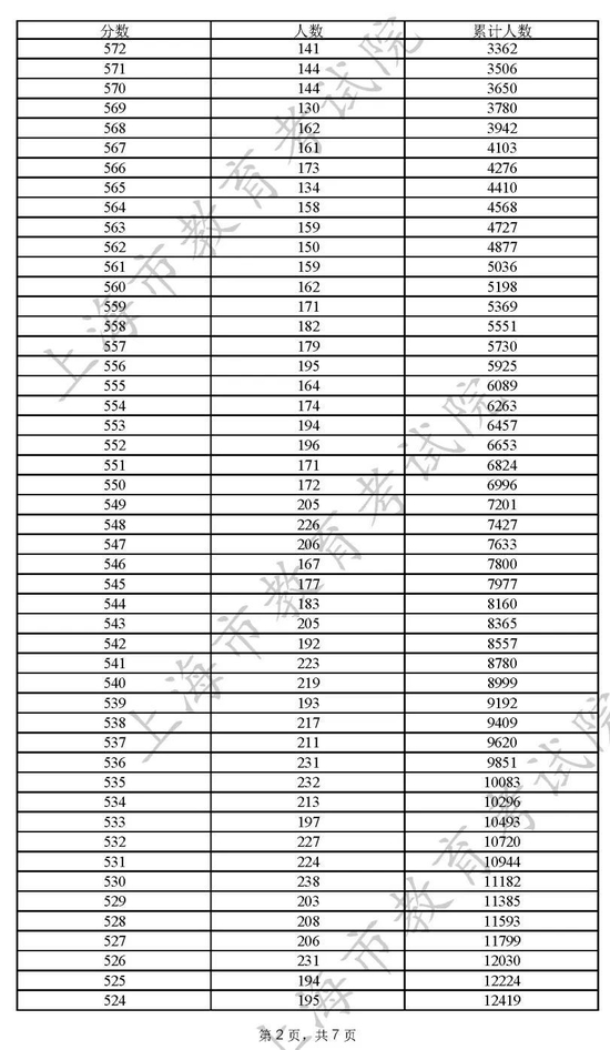
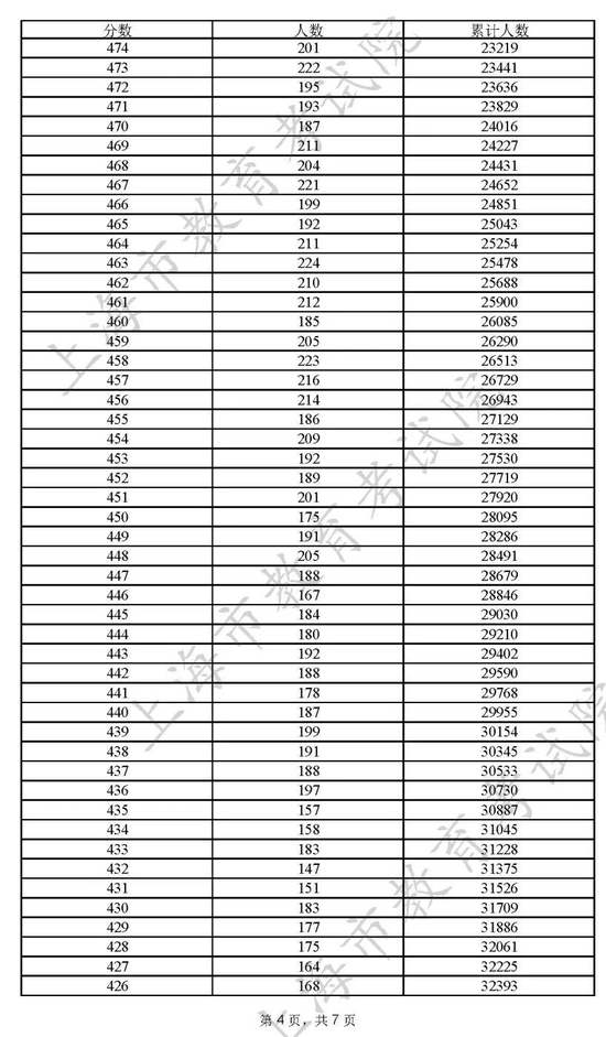
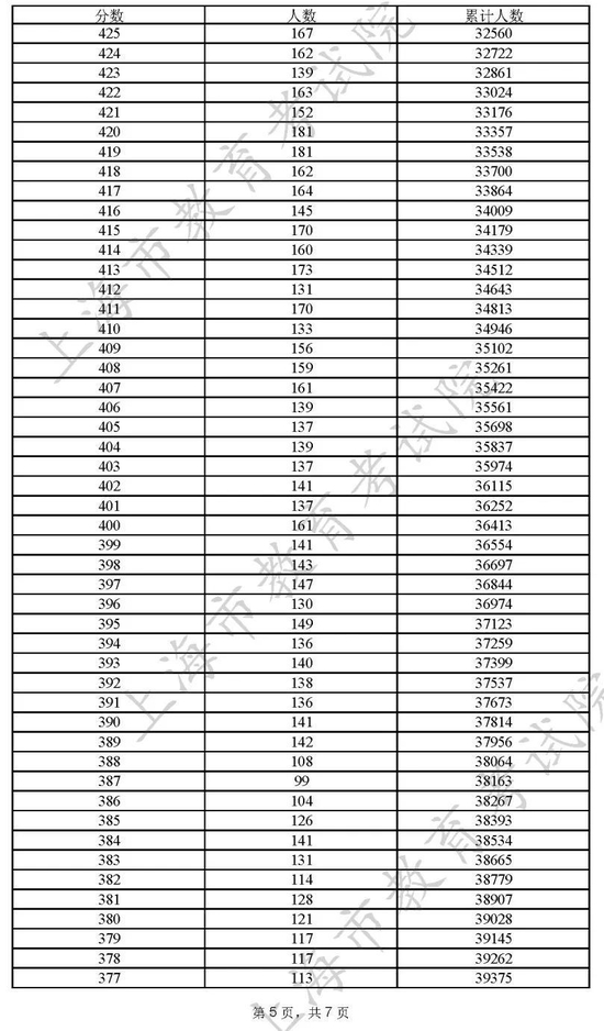
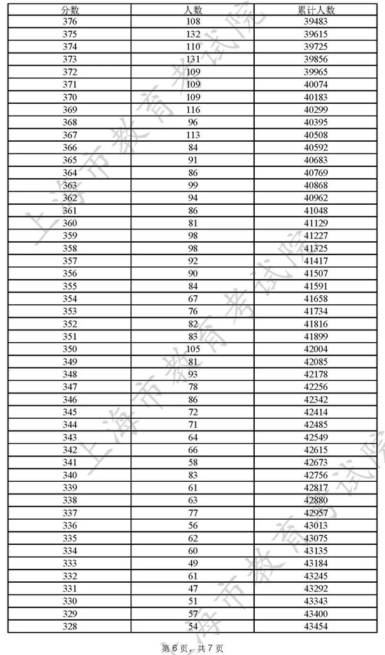
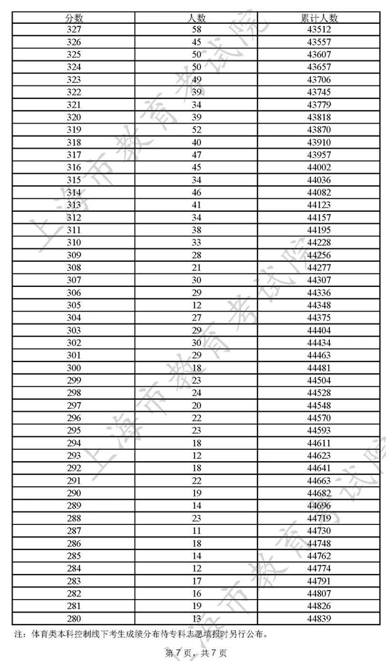
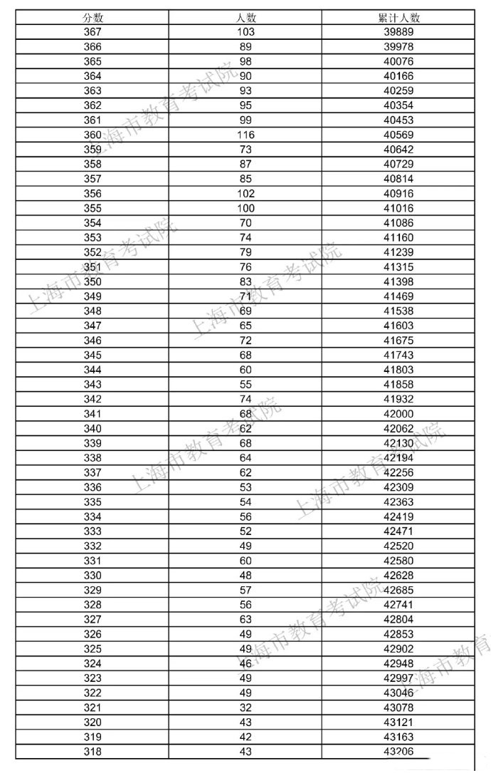
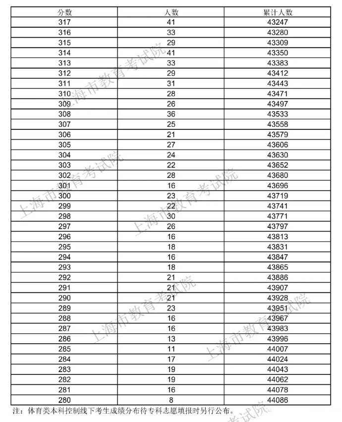
● 2022上海最新高考一分一段表公布以及排名位次







返回目录>>>
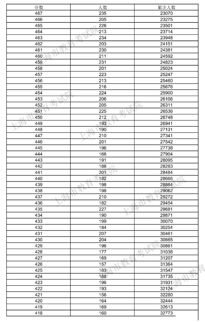
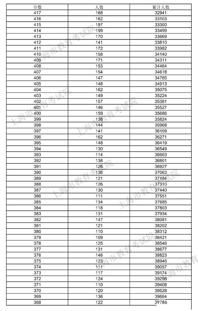
●2021上海最新高考一分一段表公布以及排名位次







返回目录>>>
●高考防骗提醒“两骗”“一篡改”
1.教育补贴诈骗。警方介绍,此类骗术在高考后的一到两周内,最易高发。通常情况下,骗子会冒充教育部门工作人员以向高考生发放助学金、减免学费、办理助学贷款为由实施诈骗。
2.提前查询考分。此类骗局中,骗子利用家长“熬”不住的焦躁情绪作案,价格又不贵,上当的人还不在少数。具体操作手法为,高考结束后,骗子会通过伪基站群发短信,称可查询高考成绩,并附有一个网址链接。不少考生收到此类信息后,便会迫不及待点开网址链接,然后手机便会被偷偷植入盗取网银的木马软件。还有的骗子会直接开价,要求家长支付500元至1000元的价格查询分数。
对此,警方也郑重提醒,考生及家人查分时应认准教育部门指定的查询方式及查分网址,不要轻易点击手机短信里来历不明的链接。如果不慎点击,要立即卸载手机上的支付宝等快速支付工具,确保资金安全,并在备份手机通讯录等重要信息后,将手机重置或恢复出厂设置,或向专业技术人员求助清除病毒。
3.篡改考生志愿。对于寒窗苦读多年的考生来说,自己原本慎重填写的志愿被他人篡改,这绝对是件让人冤枉至极的事情。在此,警方提醒广大考生要提高防范意识,妥善保管密码,不要委托他人进行网上信息查询或信息登记操作;志愿必须由本人填报,任何部门、学校、个人无权要求考生提供登录密码或代生填报志愿。
返回目录>>>
●高考后干什么事有意义
回答:1、好好读书
这不是一句套话,更不空洞,的确高考之前我们天天和成堆的书打交道,但是多数是习题和课本,而根本涉及不到思想,根本就不是阅读。现在你可以根据自己的喜好读一些好书,无论是视野拓展,能力提升,思维训练,青春文学,无论是哪一个方面,对你日后进入大学与今后的人生都会非常有帮助。
2、锻炼身体
高考压力之下,很多同学有意无意地忽视了身体的锻炼,或体形发胖,或身体虚弱,这个时候,根据自己的喜好选择适合的健身项目不仅有益,而且必须。或者选择早晚慢跑,或者选有一些球类运动,篮球、足球、羽毛球、乒乓球、网球。或者学习游泳、跆拳道、散打。你至少得会1-2样并且能把它当做乐趣,不仅对你身体锻炼有益,甚至是大学交友,体育课都会非常有帮助。
3、短期旅游
旅游无疑是放松身心的的方式之一。因为到出分的时间并不长,短期短途旅游是首选,可以到离家不远的风景名胜区玩一玩,和家人,和同学都可以。忙于高考,也许你已将好久没有好好陪着父母。和同学也好,几个月以后,好朋友也许就是天涯海角,那个班里的同学再也聚不起,那么铁的朋友很难再遇到,见面的机会也越来越少,这是一个增进同学感情的好机会。
4、关心父母
可怜天下父母亲。几个月后,你也许就要去一所陌生的城市,和父母在一起的时间真的是越来越少了。你与父母、以及父母之间的关系在高考之下也许有些失调,甚至有些同学因为高考压力无法正常宣泄,与父母发生冲突,伤害了父母的感情。建议们在考后放松之余,要寻找适当的机会,向父母还点感情债,给父母送个小礼物,为下班的父母倒一杯水等等。不要所有的事情都要等到,树欲静而风不止,子欲孝而亲不在的那一天。
5、做做家务
你已经是一个成年人了,独立自强,学会自理是你必须要学会的。不然日后你自己去大学让父母如何放心。同时这也是增进与父母交流的一种方式。考完了不要总觉得自己才是需要别人照顾的人,不要总觉得是如何有功,必须要别人来照顾。其实你该好好照顾照顾家了,你不是一个不懂事的孩子了。
6、反思自我
没有反思就没有成长和进步,不自知是一件非常可拍而又愚蠢的事情。十几年来,也许你都未曾为自己认真写过一段反思的话,不如趁着这个假期,好好反思一下自己的问题,自己的人生。
7、练练文笔
文字才能记录永恒。或者写一写回忆性的文章,再一次回味高中的故事;或者写一写电影的评论、小说的读后感想,练一练压抑已久的文笔,舒展一下憋屈了太长时间的思想;或者写一写诗歌、写一写游记,写一写给父母的话。很久以后你才会明白,你以为你刻骨铭心的很多东西都会慢慢变淡的,只有记下的文字才能永恒。尝试写一篇日志存放在空间里,可以总结一下一学期的感触、可以发表对一件事情的独到看法,也可以用饱含真情的文字感谢几个生命中最重要的人。锻炼文笔、记录成长。
8、考取驾照
至于驾照的重要性,不用我多说。如果家附近有比较好的驾校,抽时间把驾照考出来,对学生价格和考试时间一般都会有特殊照顾毕竟这个假期比较长,就算考不出来,加上寒假,绝对没有问题。
返回目录>>>
●高考后家长要做的事
1.首先要淡定
有时候家长的责备,都可能让孩子那本已难受至极的心,痛上加痛,产生自暴自弃的念头来。所以,家长淡定最重要,这一点最难做到。
2.允许孩子发泄情绪
无论是学霸还是学渣,高考都只是人生一个阶段的结束,对于这一段生活都会有各种各样的情绪,正面的也好、负面的也好,都需要发泄出来,所以,如果你的孩子想大吃大喝大睡,那就不要干涉,放心,放松变成放纵毕竟不多。
3.填志愿尊重孩子的选择
分数出来,填志愿就是的一件事了,“大包大揽”和“甩手掌柜”都不好。你应该做的事是积极收集信息、整理资料,为孩子做一个合格的“作战参谋”,尊重孩子的选择。
4.和孩子进行一次平等的成人对话
选择在一个比较正式的地点,举行一个小小的成人仪式,与孩子好好地安排和规划一下。帮助孩子一起梳理其想法、规划,让孩子明白自己想要什么,可以怎么做,并明确自己人生发展方向。
5.让孩子学着理财
高考后,很多学生都想着给自己买东西,比如换新手机、购物、零食等。家长可以给孩子一笔钱,让孩子有一个学习理财的机会。
6.给孩子一个自立的机会
毕业旅行是很多考生的选择,家长正好可以放手,让子孩子从头到尾自己规划,学会自立。不过,也要注意孩子说走就走,但家长至少要知道孩子去了哪里。
返回目录>>>
2022上海最新高考一分一段表公布以及排名相关文章:
★ 2021年上海高考分数线公布通知及上海高考一分一段分数线
★ 最新2021上海高考分数线公布大全
★ 上海2021高考全新分数线公布通知
★ 2021年高考上海交通大学历年分数线大全
★ 2021各地高考分数线公布大全
★ 2021年高考复旦大学历年分数线大全
★ 2021年上海高考录取分数线是多少
★ 上海大学2021年高考分数线最新公布
★ 2021年上海高考分数线须知
★ 2021年高考成绩一般公布时间
相关推荐
热门图文
下一篇:返回列表